Forget about all the recent furore over the politically correct ‘They Day’ fiasco, where the approximately 10,000 staff of the Department of Health and Human Services in Victoria have been encouraged on the first Wednesday of the month to avoid “gendered” language and instead refer to others using gender-neutral pronouns such as “they” or “them”. Because according to The Daily Telegraph every day could be viewed as being ‘They Day’ at the Australian Defence Force Academy (ADFA).
Just observe how the ADFA LGBTI Guide 2017—which is still freely available on the internet, at least for now—explicitly instructs candidates to, “Use gender-neutral language when referring to relationships or gender identities”.
What’s more, the guidelines go on to talk about the “management of unacceptable behaviour” as follows:
Note especially the second dot point which states: “Staff will be expected to manage any complaints or claims by any member of unacceptable behaviour IAW Defence policy and ADFA Standing Orders.” This means that any speech or behaviour that is deemed to be “unacceptable” can be formally prosecuted as the following screenshot from the LGBTI Guide 2017 demonstrates:
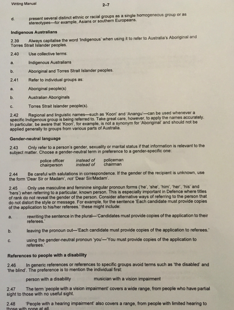
What’s more, also note the pertinent section from the 2013 Australian Defence Force Writing Guide, especially section 2.43 which gives the following unambiguous instruction: “Choose a gender-neutral term in preference to a gender-specific one. For example, police officer instead of policeman.”
And yet, according to The Daily Telegraph, Defence Minister Marise Payne not only claimed to have no knowledge of the LGBTI Guide 2017 but responded that “The Department has not, and is not intending to, issue a Defence directive on gender-neutral language. Claims to the contrary are wrong”. What’s more, ADF Media has also issued a press release stating much the same thing:
However, both the LGBTI Guide 2017, as well as the well as the official “Australian Defence Force Writing Guide”, seem to suggest that this is actually not the case. Because clearly, ADFA cadets are currently being instructed to “consider using gender-neutral language when referring to relationships or gender identities”. And so, while the Defence Minister—as well as ADF Media—might be technically correct in claiming that no actual order has been given, it’s not really accurate to say that nothing at all is being encouraged in this regard.
What’s more, the fact that an “official directive” hasn’t been issued yet may simply be a case of the story having been published just a little too soon. Because as Jack Houghton and Miranda Devine wrote in The Daily Telegraph:
The Defence Force’s director of people and strategy Justine Greig told the Senate estimates committee in May that Defence was in the process of drafting a formal “policy piece” based on “material available as guides to managers and leaders in the organisation”.
Ms Greig also said the language guide had become “mandatory” training for “commanders” and “leadership” within the Defence Force.
As the above example of investigative journalism demonstrates, if the language guide is viewed as being “mandatory” then whether or not an official directive has been given is really beside the point. Because any guide that has the sanction of potential punishment for non-compliance in reality functions as a directive. So, it doesn’t need to be in the official standing orders for it to be ‘authoritative’ since ADFA is, in practice, currently compelling its staff and future leaders to comply with the usage of gender-neutral language. And therein is the real issue. It is the fact that no-one should be compelled to use a certain form of words with the risk of legal prosecution if they don’t.
As Caroline Marcus has argued in an excellent opinion piece, again for Telegraph:
People should be free to self-identify as whatever sex they choose, but forcing others to adhere to non-gendered language is compelled speech, pure and simple, and should be pushed back against at all costs.
Lieutenant Colonel John Salter (Retired)—who won the Military Cross in Vietnam—was reported as saying in The Townsville Bulletin, that “today’s soldiers were being wrapped in cotton wool”. He went on to add:
We’ve forgotten what the army is all about; now we’re going to be having soldiers throwing carnations at the enemy…
Do we want an army of soldiers or flower throwers?
I think it’s gone too far and the rot starts at the top; the Chief of the Defence Force (CDF) and that person who masquerades as Defence Minister are bowing down to a minute percentage of the population.
Likewise, the conservative Liberal Senator, Eric Abetz has also told The Spectator Australia:
When political correctness and word games become the focus of our top brass one can be forgiven for thinking they might be losing the plot. Fighting the scourge of terrorism, territorial creep, keeping us safe, and maintaining our military capacity is the actual responsibility with which these officials have been tasked.
Sadly, all of this is consistent with the current trajectory of broader defence force policy such as in their latest social justice campaign to encourage those serving in the Royal Australian Navy to paint their pinky fingernails pink to “show support for gender equality and diversity in the workplace”.
Recently, the @Australian_Navy began taking part in the #100DaysForChange campaign.
To encourage gender equality and diversity in the workplace, personnel in Sydney painted their pinky fingernails pink as a visual indication of support. pic.twitter.com/AK9JqszdR6
— Defence Australia (@DefenceAust) July 28, 2018
And when it comes to the rates of transgenderism, according to Dr. John Whitehall, “estimates based on adult dysphoria clinics range from 0.005 to 0.014 per cent for men convinced they are women and 0.002 to 0.003 per cent for women” as opposed to the misleading statistic of 1.2% that is sometimes used. As such, gender dysphoria should be viewed as being a condition which affects an extremely small percentage of the overall population. Sadly, what has become clear is that the ADF is under attack by certain political advocates and that their war on gender is only the beginning.
Mark Powell is the Associate Pastor of Cornerstone Presbyterian Church, Strathfield.
Cartoon: Ben R Davis.
Got something to add? Join the discussion and comment below.


















